تقييمات الأسبوع الخامس للصف الأول الثانوي ترم ثانِ ٢٠٢٤ /٢٠٢٥ .
التقييمات الأسبوعية للصف الأول الثانوي ت٢ الاسبوع الخامس ٢٠٢٤ / ٢٠٢٥ 👇👇
لتحميل تقييمات الاسبوع الخامس للصف الاول الثانوي جميع المواد بالاجابات 👇👇
اللغة الإنجليزية
الاداء الصفي👈اضغط هنا
الاداء المنزلي👈 إضغط هنا
التقييم الاسبوعى 👈 إضغط هنا
الرياضيات
الاداء الصفي👈 اضغط هنا
الاداء المنزلي 👈 اضغط هنا
التقييم الاسبوعى 👈إضغط هنا
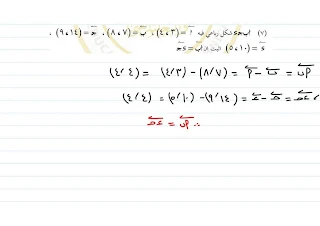
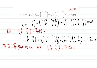
الاجابه 👇
Math
الاداء الصفي👈 إضغط هنا
الاداء المنزلي 👈 إضغط هنا
التقييم الاسبوعى 👈 إضغط هنا
العلوم المتكاملة
الاداء الصفي 👈__
الاداء المنزلي 👈إضغط هنا
التقييم الاسبوعي👈 إضغط هنا
الإجابات 👇
علوم متكاملة لغات
الاداء الصفي 👈//
الاداء المنزلي 👈اضغط هنا
التقييم الاسبوعي👈 اضغط هنا
التاريخ
الاداء الصفي والمنزلي والتقييم الاسبوعي👈 اضغط هنا
الفلسفة والمنطق
الاداء الصفي 👈إضغط هنا
الاداء المنزلي 👈إضغط هنا
التقييم الاسبوعي👈 إضغط هنا
اللغة الفرنسية (لغة أولى)👇👇
التقييم الاسبوعي 👈 اضغط هنا
اللغة الفرنسية (لغة ثانية) 👇👇
التقييم الاسبوعي 👈اضغط هنا
اللغة الالمانية 👇👇
الاداء الصفي 👈اضغط هنا
اللغة الاسبانية 👇👇
الاداء الصفي 👈إضغط هنا
اللغة الايطالية 👇👇
الاداء الصفي 👈 إضغط هنا
الاداء المنزلي 👈 اضغط هنا









































